THÀNH CÔNG TRONG VIỆC XÁC ĐỊNH NIÊN ĐẠI CỦA TẠP CHẤT ZIRCON TRONG RUBY BỊ XỬ LÝ NHIỆT MẠNH
Xác định tuổi của các tạp chất zircon trong ruby và sapphire có thể cung cấp thông tin hữu ích trong việc xác định nguồn gốc....
Xác định tuổi của các tạp chất zircon trong ruby và sapphire có thể cung cấp thông tin hữu ích trong việc xác định nguồn gốc.
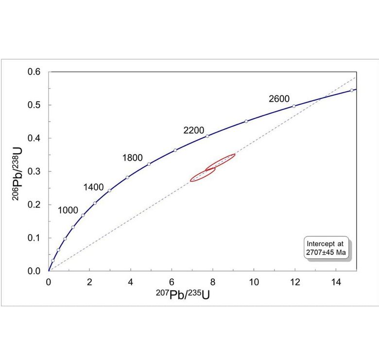
Zircon là một khoáng chất thường kết hợp urani khi hình thành và urani phân rã thành chì theo thời gian, cho phép ta xác định tuổi bằng cách đo tỷ lệ của chúng. Các nhà địa chất học ưa chuộng Zircon vì khả năng chống chịu cơ học và nhiệt độ, nồng độ urani tương đối cao và không có chì thông thường, tức là chì đã kết hợp trong quá trình hình thành tinh thể và không đến từ quá trình phân rã bức xạ của urani. Uranium cung cấp hai đồng hồ bấm giờ độc lập từ hai đồng vị 238U và 235U của nó, phân rã thành 206Pb và 207Pb. Các tỷ lệ đó được biểu diễn trên đồ thị song song với nhau và độ tuổi chính xác không bị nhiễu sẽ nằm trên đường Concordia, xem đường màu xanh lam trong hình 2. Các tinh thể bị nhiễu kể từ khi hình thành sẽ nằm ngoài đường này, cho thấy độ tuổi thu được trực tiếp từ tỷ lệ Pb/U không đáng tin cậy.

Hình 2: Đường Concordia (màu xanh lam đặc) và tỷ lệ Pb/U từ tạp chất zircon (các vòng tròn màu đỏ). Kích thước của các vòng tròn biểu thị sự không chắc chắn của các phép đo. Đường chấm màu xanh lam ngoại suy lượng chì bị mất trở lại Concordia, đưa ra độ tuổi là 2,7 tỷ năm. Hình: M. Wälle, SSEF.
Gần đây, chúng tôi đã phân tích ba viên ruby có nguồn gốc từ Greenland tại SSEF (Hình 1). Tất cả đều cho thấy dấu hiệu rõ ràng của quá trình xử lý nhiệt .Trên viên ruby nhỏ nhất, chúng tôi tìm thấy hai tạp chất lộ ra trên bề mặt trông giống như zircon. Trong khi tạp chất lớn hơn hóa ra là một tạp chất trước đây đã nóng chảy và chuyển thành thủy tinh silica, thì tạp chất nhỏ hơn là một zircon nhỏ, có kích thước khoảng 15 μm x 60 μm. Chúng tôi đã phân tích zircon này bằng một chùm tia laser có đường kính nhỏ bằng thiết bị GemTOF của mình, với hy vọng tính toán được độ tuổi hợp lý cho zircon, mặc dù thực tế là viên ruby đã được nung ở nhiệt độ cao và may mắn thay, chúng tôi đã có thể lấy được hai điểm dữ liệu từ nó.

Hình 1: Ba viên hồng ngọc Greenland nặng 2,39, 3,04 và 1,22 ct. Xác định niên đại thành công trên một tạp chất zircon nhỏ trên viên hồng ngọc nặng 1,22 ct (bên phải). Ảnh: A. Chalain, SSEF
Thật không may, các điểm dữ liệu không hề gần đường Concordia, cho thấy tạp chất zircon này trong ruby Greenland không giữ nguyên được tuổi của nó. Điều này không phải là bất ngờ vì zircon được biết là mất chì dần dần khi được nung nóng ở nhiệt độ trên 900 đến 1000°C. Trong trường hợp này, quá trình xử lý nhiệt của ruby cũng ảnh hưởng đến tạp chất zircon này và nó đã mất một số chì trong quá trình nung nóng. Tuy nhiên, chúng ta vẫn có thể xác định được tuổi bằng cách tính ngược lại tác động của sự mất chì này. Vì cả hai đồng vị chì đều bị mất với tỷ lệ bằng nhau và sự mất mát này diễn ra rất gần đây (ít nhất là theo thang thời gian địa chất) trong quá trình xử lý nhiệt, nên chúng ta có thể vẽ một đường thẳng từ gốc qua các điểm dữ liệu của mình. Tuổi của zircon được biểu thị bằng đoạn cắt của đường này (đường chấm màu xanh lam trong hình 2) với đường Concordia, cho ra tuổi là 2,7 tỷ năm. Điều này phù hợp với dữ liệu tuổi khác từ ruby từ Greenland, được mô tả trong tài liệu là những viên ruby lâu đời nhất được biết đến trên Trái đất.
Bởi Tiến sĩ M. Wälle, lần đầu tiên xuất bản trên Facette 29 (tháng 5 năm 2024)
Lược dịch Kira Trần

Khoa học - Công nghệ
/khoa-hoc-cong-nghe
Bài viết nổi bật khác
- Hot nhất
- Mới nhất