IRR là gì? Công thức tính chỉ số IRR
Trong đầu tư tài chính, có rất nhiều chỉ số được tính toán nhằm đánh giá tiềm năng của một thương vụ. Việc hiểu ý nghĩa của các chỉ...
Trong đầu tư tài chính, có rất nhiều chỉ số được tính toán nhằm đánh giá tiềm năng của một thương vụ. Việc hiểu ý nghĩa của các chỉ số rất quan trọng, giúp nhà đầu tư nhận diện và lựa chọn giao dịch hiệu quả. IRR là một thuật ngữ quen thuộc trong phân tích chứng khoán. Vậy IRR là gì? Công thức tính chỉ số IRR như thế nào? Hãy cùng VNSC tìm hiểu chỉ số IRR trong đầu tư chứng khoán nhé!
Chỉ số IRR là gì?
IRR là viết tắt của cụm từ Internal Rate of Return (tỷ suất hoàn vốn nội bộ), được hiểu là lãi suất mà tại đó giá trị hiện tại của dòng tiền dự kiến bằng với mức đầu tư ban đầu, trong 1 dự án. Hiểu theo cách đơn giản, IRR là mức lãi suất khiến giá trị hiện tại của dòng tiền ra vào bằng nhau.
Trường hợp IRR của một dự án lớn hơn lãi suất không rủi ro (Thường là lãi suất từ đầu tư trái phiếu chính phủ) thì dự án đó được coi là có lãi. Chỉ số IRR được sử dụng có thể giảm các yếu tố tác động bên ngoài như lạm phát và chi phí vốn ảnh hưởng đến quyết định đầu tư, đánh giá dự án.
Ví dụ, một dự án có chỉ số IRR bằng 8% thì khoản đầu tư đó sẽ mang lại cho nhà đầu tư tỷ suất lợi nhuận hàng năm là 8%, trong suốt vòng đời của dự án đó.

Ý nghĩa chỉ số IRR như thế nào?
IRR là công cụ được sử dụng nhiều trong đầu tư chứng khoán, nhằm đánh giá tính khả thi của một dự án. Cụ thể, nếu IRR có giá trị lớn hơn hoặc bằng giá trị chiết khấu, cho thấy khả năng sinh lời của dự án tốt. Lúc này, nhà đầu tư nên đầu tư lại, không nên đầu tư vào những dự án có chỉ số IRR thấp.
Khi so sánh và cân nhắc giữa các dự án, nhà đầu tư nên chọn dự án có chỉ số IRR cao hơn, cho thấy khả năng sinh lời và hoàn vốn tốt hơn. IRR sẽ là chỉ số giúp so sánh giữa các dự án đầu tư chứng khoán và trái phiếu đáo hạn để đánh giá kênh đầu tư, xây dựng danh mục đầu tư phù hợp, từ đó phân tán rủi ro.
Chỉ số IRR còn được sử dụng để xác định ngưỡng chấp nhận của dự án. IRR là một công cụ hữu ích khi bạn đầu tư vào một dự án và muốn đánh giá xem nó có thể ra lợi nhuận đáng kể hay không. Tuy nhiên, hiệu quả đạt được bị ràng buộc vào vốn và mục tiêu của nhà đầu tư.
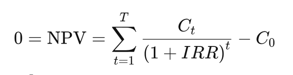
Cách tính IRR chính xác nhất
Việc tính giá trị chỉ số IRR rất quan trọng, nhà đầu tư cần tìm hiểu công thức để tính toán chính xác. Cách tính IRR với công thức chuẩn như sau:

Trong công thức, các chỉ số sẽ có ý nghĩa như sau:
IRR là chỉ số hoàn vốn nội bộ tại thời điểm tính.NPV là giá trị hiện tại của dòng tiền dự án.Ct là giá trị hiện tại của dòng tiền thu về.t là thời gian thực hiện dự án/ thời gian đầu tư.C0 là chi phí ban đầu của nhà đầu tư.
Dựa theo công thức trên, IRR sẽ được xác định là nghiệm của phương trình với NPV = 0.
Ưu nhược điểm khi áp dụng chỉ số IRR trong phân tích đầu tư
Chỉ số IRR được nhiều đơn vị, doanh nghiệp và nhà đầu tư áp dụng trong các lĩnh vực. Tuy nhiên chỉ số này cũng có những ưu – nhược điểm riêng cần chú ý, để phân tích đánh giá hiệu quả.
Ưu điểm khi áp dụng chỉ số IRR trong phân tích đầu tư:
Chỉ số IRR phù hợp với các dự án đầu tư quy mô vừa và lớn, số vốn đầu tư ban đầu lớn để xác định được chính xác giá trị.Biểu thị IRR và tỷ lệ chiết khấu dưới dạng %, dễ so sánh đánh giá.Dễ dàng định mức lãi suất phù hợp với các dự án, đo lường được hiệu quả của các dự án.
Hạn chế của chỉ số IRR trong phân tích đầu tư:
Không phù hợp với các dự án nhỏ lẻ, có số vốn thấp, độ chính xác không cao.Các chỉ số được sử dụng mang tính giả định, nên độ chính xác của IRR mang lại không cao, cần kết hợp với các thông tin khác để đánh giá dự án.Chỉ số IRR thay đổi nhiều bởi yếu tố thời gian, nên không mang lại độ chính xác cao.Tốn thời gian tính toán, phức tạp khiến nhà đầu tư mới có thể bỏ lỡ cơ hội đầu tư khác.
Mối quan hệ giữa chỉ số IRR và NPV như thế nào?
Có thể thấy, chỉ số IRR và NPV xuất hiện trong công thức tính lãi suất khá nhiều. Vậy, mối quan hệ giữa chỉ số IRR và NPV như thế nào?
Dựa trên công thức, quan hệ giữa IRR và NPV là quan hệ tập nghiệm. Hiểu đơn giản hơn, IRR chính là nghiệm của phương trình với NVP = 0. Cụ thể, mối quan hệ của IRR và NPV như sau:
Về đơn vị so sánh:IRR phản ánh theo tỷ lệ %, còn NPV phản ánh thông qua số tiền.Về mục đích sử dụng: IRR phản ánh khả năng thu hồi vốn, còn NPV phản ánh tính khả thi của dòng tiền.Về tính phụ thuộc của từng chỉ số:IRR sẽ phụ thuộc vào thời gian, NPV phụ thuộc vào nguồn vốn ban đầu.
Doanh nghiệp có thể sử dụng 2 chỉ số IRR hoặc NPV để đánh giá tính khả thi của dự án. Tuy nhiên, cần cân nhắc sử dụng từng chỉ số tùy theo đặc trưng của từng dự án đầu tư. Với các dự án quá dài hoặc quá ngắn hay dòng tiền bất ổn, tỷ lệ chiết khấu đan xen âm dương, nhà đầu tư có thể lựa chọn sử dụng chỉ số NPV để phân tích, đánh giá dự án với tính chính xác cao hơn.

Chỉ số IRR bao nhiêu là tốt?
Khá nhiều nhà đầu tư sử dụng dụng chỉ số IRR trong phân tích đánh giá các dự án. Vậy chính xác, chỉ số IRR bao nhiêu là tốt?
Trong phân tích đầu tư chung, chỉ số IRR cao thường được coi là tốt. Bởi IRR là lãi suất ở giá trị hiện tại có dòng tiền bằng mức đầu tư ban đầu. Khi đó, IRR cao sẽ cho thấy dự án có khả năng tạo ra lợi nhuận cao hơn mức đầu tư ban đầu.
Tuy nhiên, chỉ số IRR biến thiên, chịu ảnh hưởng của thời gian. Việc xác định chính xác chỉ số IRR bao nhiêu là tốt sẽ cần thiết để nhà đầu tư đánh giá.
Mức IRR được xem là tốt sẽ phụ thuộc vào các yếu tố sau, nhà đầu tư cần so sánh:

Trên đây là những phân tích, thông tin cơ bản về chỉ số IRR trong đầu tư tài chính, chứng khoán. Chỉ số IRR có những ưu – nhược điểm cần nhận định rõ, ứng dụng linh hoạt trong từng trường hợp. Hy vọng bạn đọc đã hiểu rõ để sử dụng chỉ số IRR trong phân tích các dự án đầu tư hiệu quả.

Phát triển bản thân
/phat-trien-ban-than
Bài viết nổi bật khác
- Hot nhất
- Mới nhất

