1) Bài học từ việc kiểm định viên sapphire hồng:
Vào tháng 1 năm 2020, một đôi bông tai đã được mang đến phòng thí nghiệm ở Bangkok của Lotus Gemology để kiểm định. Chúng tôi được yêu cầu kiểm tra viên sapphire màu hồng ở giữa mỗi chiếc bông tai (Hình 1).

Hình 1. Đôi bông tai sapphire màu hồng là chủ đề của bài viết này. Trong khi viên đá bên trái có bằng chứng rõ ràng về quá trình xử lý nhiệt thì chiếc bông tai bên phải thì không. Kết quả là chúng tôi đã yêu cầu khách hàng tháo đá ra. Ảnh: Wimon Manorotkul; khuyên tai của VPGemstones Co., Ltd., Bangkok
Viên sapphire đầu tiên được kiểm định cho thấy dấu hiệu nó đã được xử lý nhiệt. Nhưng ở viên sapphire thứ hai, dấu hiệu xử lý không thuyết phục do việc đá quý đã gắn vào trang sức.
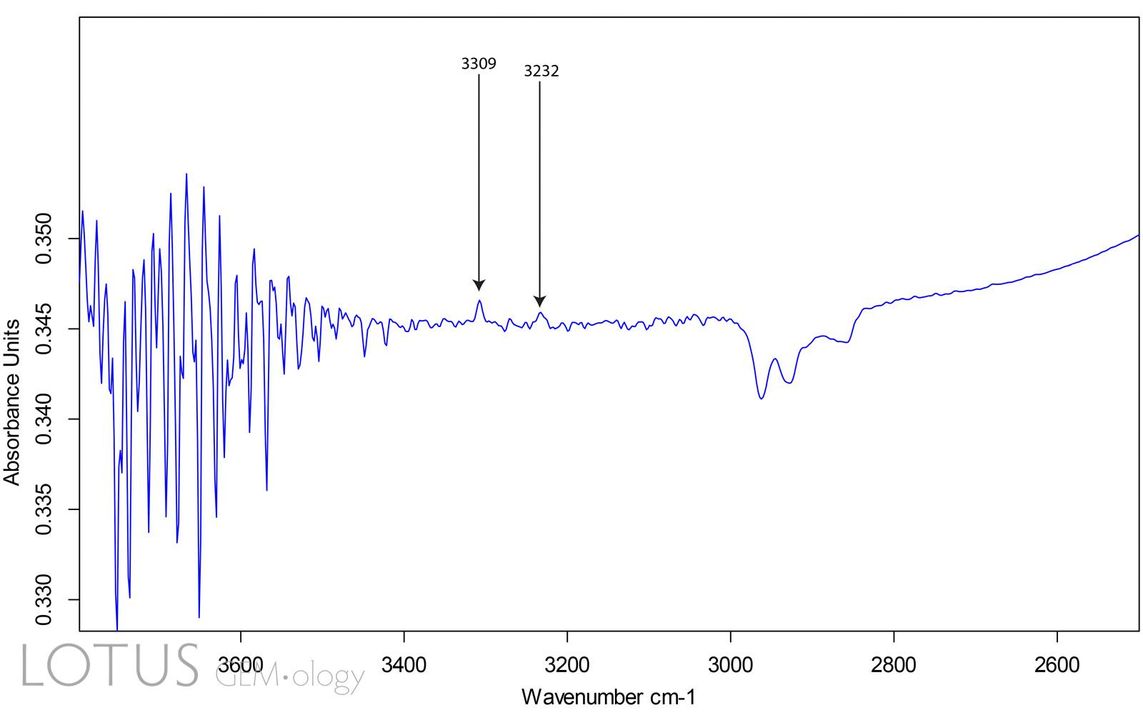
Theo quy trình thử nghiệm thông thường tại Lotus Gemology, tất cả các corundum sẽ được đo phổ hồng ngoại bằng thiết bị Bruker Tensor 27 FTIR với thiết bị thu thập phản xạ khuếch tán Pike EasyDiff™ (DRIFTS).Do việc lắp đặt nên chúng tôi buộc phải sử dụng phụ kiện ngưng tụ chùm tia Pike 4x để đo phổ hồng ngoại. Kết quả là phổ thể hiện trong hình 2.

Hình 2. Phổ hồng ngoại của viên sapphire màu hồng Madagascar sử dụng phụ kiện thu thập chùm tia Pike 4x. Điều này sẽ gửi một chùm tia hẹp xuyên qua viên ngọc. Sử dụng kỹ thuật này, đỉnh 3309 cm -1 nằm ở mức nhiễu, trong khi đỉnh 3232 cm -1 hoàn toàn không nhìn thấy được.
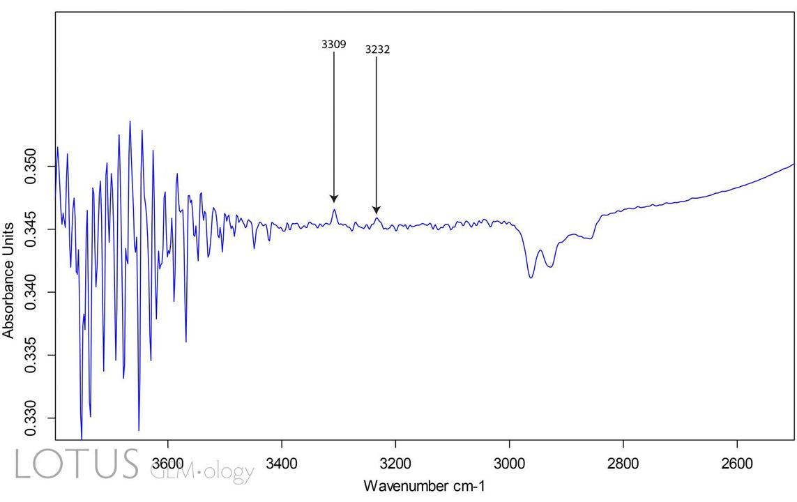
Vì dấu hiệu xử lý về việc xử lý nhiệt không thuyết phục nên chúng tôi đã yêu cầu khách hàng tháo viên đá ra. Sau khi ngắt kết nối, chúng tôi lại đo phổ hồng ngoại, lần này sử dụng phụ kiện DRIFTS. Phổ thu được được thể hiện trong Hình 3, trong đó cả đỉnh 3309 cm -1 và đỉnh chính ở 3232 cm -1 đều vượt lên trên mức nhiễu nền. Điều này chứng minh rõ ràng tại sao DRIFTS là lựa chọn tốt hơn để đo quang phổ hồng ngoại của hầu hết các loại đá quý.

Hình 3. Phổ hồng ngoại của cùng loại sapphire màu hồng Madagascar sử dụng phụ tùng DRIFTS (phản xạ khuếch tán). Điều này làm cho chùm tia xuyên qua viên ngọc từ nhiều hướng khác nhau. Sử dụng kỹ thuật này, 3309 cm -1 tăng cao hơn mức sàn tiếng ồn. Ngoài ra, đỉnh ở 3232 cm -1 nhô lên trên mức nhiễu, chứng tỏ viên đá quý đã được xử lý nhiệt nhân tạo.
2) Thảo luận:
Trong nhiều năm, các nhà đá quý đã đo quang phổ hồng ngoại của hàng chục nghìn viên ruby và sapphire. Sự xuất hiện đỉnh ở 3232 cm -1 đã được chứng minh là một dấu hiệu cực kỳ rõ ràng về quá trình xử lý nhiệt (Atichat và cộng sự , 2011). Tinh thể theo định nghĩa hiển thị các đặc tính định hướng và quang phổ của chúng cũng không ngoại lệ. Bởi vì thiết bị đính kèm DRIFTS lấy mẫu ánh sáng di chuyển qua đá quý theo nhiều hướng khác nhau nên nó có nhiều khả năng tiết lộ thông tin hơn như đỉnh chính 3232 cm -1 (Hughes và cộng sự , 2007). Vì vậy, nó phải là lựa chọn đầu tiên cho các nhà đá quý đo quang phổ hồng ngoại.
3)Corundum có nguồn gốc từ đá bazan:
Điều quan trọng cần lưu ý là khi sử dụng phổ hồng ngoại làm công cụ để vạch mặt quá trình xử lý nhiệt trên đá quý, cần thận trọng khi kiểm định những viên ruby và sapphire có nguồn gốc từ đá bazan, đá quý có thể hình thành sâu hơn trong lòng đất thông qua quá trình biến chất, chúng được vận chuyển lên bề mặt trong các loại đá núi lửa như đá bazan. Nhiệt từ những tảng đá núi lửa này có thể tạo ra trong corundum các tạp chất, huỳnh quang UV và các đặc điểm quang phổ trong tia hồng ngoại với đỉnh 3232 cm gần giống với những viên đá đã được xử lý nhiệt nhân tạo (Hình 4). (Soonthorntanikul và cộng sự , 2019).
Sapphire liên quan đến đá bazan đến từ khắp nơi trên thế giới, bao gồm Úc, Campuchia, Cameroon, Trung Quốc, Ethiopia, Pháp, Kenya, Lào, Madagascar (viễn bắc), Nigeria, Rwanda, Scotland, Thái Lan và Việt Nam.

Hình 4. Do sức nóng của magma đưa chúng lên bề mặt, các corundum liên quan đến bazan có thể đạt đỉnh 3232 ngay cả khi không được xử lý nhiệt nhân tạo.
4)Phần kết luận:
Phổ FTIR đã được chứng minh là một kỹ thuật thiết yếu trong việc làm rõ quá trình xử lý nhiệt ở cả ruby và sapphire. Nhưng giống như bất kỳ công cụ nào, nó đòi hỏi người kiểm định phải có tay nghề cao để khai thác hết tiềm năng của nó. Một phần của kỹ năng đó là việc lựa chọn thiết bị thu thập (DRIFTS so với thiết bị ngưng tụ chùm tia). Ngoài ra, điều quan trọng là khách hàng phải được cảnh báo về sai lệch có thể xảy ra khi kiểm định đá quý đã gắn lên trang sức. Tất cả các viên đá quý được Lotus Gemology kiểm tra ở trạng thái được gắn lên trang sức đều có cảnh báo sau trong báo cáo: "Những viên đá quý được gắn lên trang sức chỉ được kiểm tra ở mức độ tương đối cho phép. Kết quả có thể thay đổi sau khi tháo khỏi trang sức."
Bởi Richard W. Hughes & Wimon Manorotkul
Ghi chú :Được xuất bản lần đầu trên Tạp chí của Hiệp hội Đá quý Hồng Kông , 2020, Tập. 41, trang 61–63.
Tham khảo
• Atichat, W., Leelawatanasuk, T., Sriprasert, B., Pisutha-Arnond, V., Wathanakul, P. và Suthirat, C. (2011) Đá ruby Mozambique: Chỉ định quá trình xử lý nhiệt ở nhiệt độ thấp. Hội nghị Đá quý Quốc tế lần thứ 32, Interlaken, Thụy Sĩ, trang 157–159; RWHL.
• Hughes, RW, Castoro, L., Nyunt, HP. K. & Kiefert, L. (2007) FTIR trong thử nghiệm đá quý • Âm mưu FTIR . LotusGemology.com; truy cập ngày 13 tháng 2 năm 2020.•
• Soonthorntanikul, W., Khowpong, C., Atikarnsakul, U., Saesaw, S., Sangsawong, S., Vertriest, W. và Palke, A. (2019) Những quan sát về quá trình xử lý nhiệt của sapphire xanh liên quan đến bazan. Viện Đá quý Hoa Kỳ, không có thành phố, 60 trang; RWHL*.
Lược dịch Kira Trần

Khoa học - Công nghệ
/khoa-hoc-cong-nghe
Bài viết nổi bật khác
- Hot nhất
- Mới nhất

